




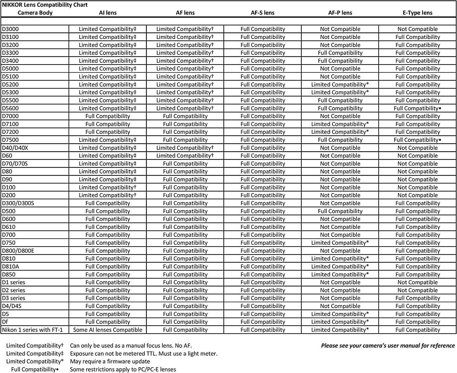
Lente Nikon AF-S 28-300mm f/3.5-5.6g ED VR Quan Huafu
Estimated Shipping Widget will be displayed here!
Compra garantida | Devolução grátis
Garantia Octoshop: entregamos na data prometida ou você recebe seu dinheiro de volta. Caso precise devolver, oferecemos 7 dias de devolução gratuita, sem burocracia.
Pagamento seguro via Mercado Pago
Compre com tranquilidade. Seu pagamento é 100% seguro e processado pelo Mercado Pago, uma das plataformas mais confiáveis da América Latina.
Loja confiável | Indicados ao prêmio RA!
Fomos indicados ao prêmio Reclame Aqui 2024, dado apenas para as melhores empresas dentro do ReclameAqui.
Compre sem taxas extras!
Compra Internacional: Os tributos de importação já estão incluídos. Sem custos extras!
Vendido e enviado por: HYJ Tech Store
O que nossos clientes dizem?
Veja relatos que recebemos no nosso dia a dia
Detalhes do produto
Nome da mercadoria: Nikon AF-S 28-300mm f/3.5-5.6G ED VR
Peso bruto da mercadoria: 1,0kg
Tipo: zoom do telescópio
Quadro: slr digital de quadro completo
Tipo de boca; Nikon baioneta f
Peso do produto (g); Cerca de 800g
Diâmetro (mm); 83mm
Número do modelo; 28-300mm f/3.5-5.6G ED VR
Tipo; zoon padrão
Comprimento (mm); 114,5 mm